IMAGE

Fig. 3

ID
ZDB-IMAGE-160701-58
Source
Figures for Valvezan et al., 2014
Image
Figure Caption

Fig. 3

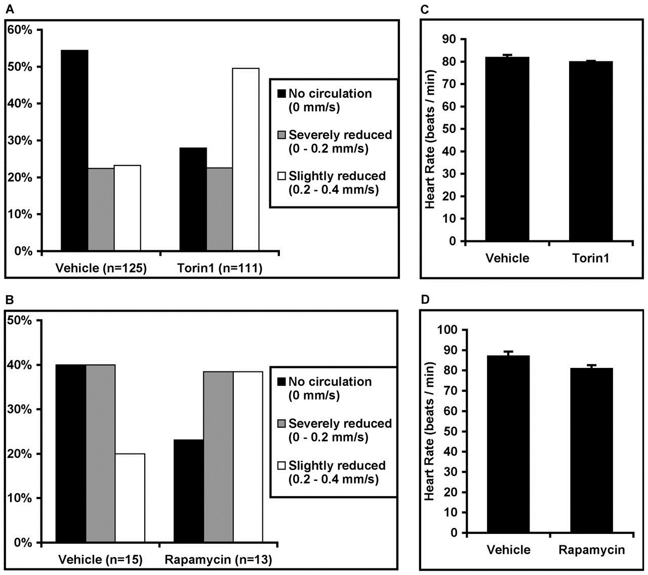
mTORC1 inhibition improves circulation in apcmcr/mcr zebrafish. (A) apcmcr/mcr zebrafish were treated with vehicle or Torin1 (250 nM) and the rate of blood flow through the dorsal aorta was measured using high speed videomicroscopy in unanesthetized larvae at 2-3 dpf. Blood flow phenotypes were categorized according to flow rate as indicated. Representative movies for each scoring category can be found in online supplementary material (supplementary material Movies 1-4). (B) Rapamycin also improved circulation in apcmcr/mcr zebrafish. (C,D) Torin1 and rapamycin treatment did not increase the heart rate of apcmcr/mcr zebrafish.

Figure Data
Acknowledgments
This image is the copyrighted work of the attributed author or publisher, and ZFIN has permission only to display this image to its users. Additional permissions should be obtained from the applicable author or publisher of the image. Full text @ Dis. Model. Mech.