IMAGE

Fig. 6

ID
ZDB-IMAGE-160906-38
Source
Figures for Parrie et al., 2013
Image
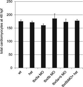
Figure Caption

Fig. 6

Cardiac cell number is not affected by the lack of functional Tbx5a or Tbx5b. Quantification of total cardiomyocyte numbers in wild-type (wt) and tbx5a or tbx5b-deficient embryos at 48 hours postfertilization (hpf). Data are expressed as means ± SE. There were no statistically significant differences among these treatments (*P > 0.05). For the columns listed left to right, n = 20, 11, 17, 11, 20, 14 embryos.

Figure Data
Acknowledgments
This image is the copyrighted work of the attributed author or publisher, and ZFIN has permission only to display this image to its users. Additional permissions should be obtained from the applicable author or publisher of the image. Full text @ Dev. Dyn.