IMAGE

Figure 3

ID
ZDB-IMAGE-191230-1296
Source
Figures for Mustafa et al., 2019
Image
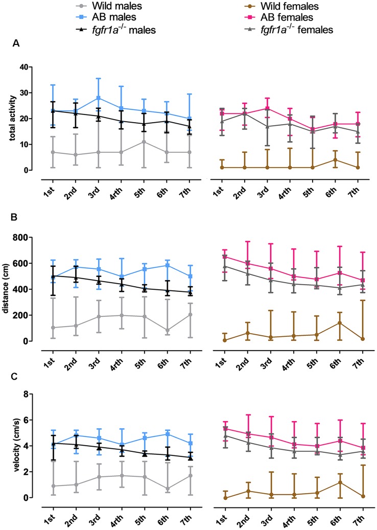
Figure Caption

Figure 3

The 14-min trial in the shelter test divided into seven 2-min time bins for total activity, i.e., sum of all frequencies (A), total distance traveled (B) and mean velocity (C) in the arena in male and female adult offspring of wild-caught (wild), AB and fgfr1a−/− zebrafish. Data are presented as median and quartile range. No difference between the first and the last time bin was revealed within the respective groups (Wilcoxon signed-rank test).

Acknowledgments
This image is the copyrighted work of the attributed author or publisher, and ZFIN has permission only to display this image to its users. Additional permissions should be obtained from the applicable author or publisher of the image. Full text @ Front. Behav. Neurosci.