IMAGE

Figure 1

ID
ZDB-IMAGE-210409-16
Source
Figures for Haege et al., 2021
Image
Figure Caption

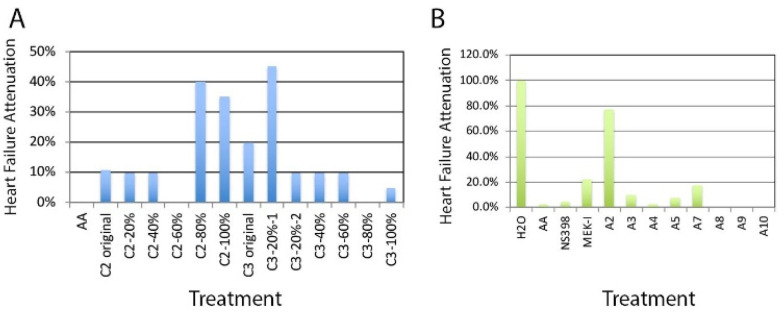
Figure 1 AHF attenuation by Trapa taiwanensis Nakai compounds. Two crude extracts from Chinese water chestnuts (Trapa taiwanensis Nakai) were generated using different solvents, 50% ethanol for C2 and water for C3. Initial tests using our zebrafish model showed AHF attenuation activity. Both C2 and C3 extracts were proceeded with medium pressure column chromatography (MPLC) to generate fractions eluted out with methanol gradient, 20%, 40%, 60%, 80% and 100%. Due to the large volume, C3-20% was further divided into two fractions, C3-20%-1 and C3-20%-2. (A) C3-20%-1 showed greater than 40% AHF attenuation. Although C2-80% and C2-100% also showed attenuation in this representative experiment, they failed to show the same activity in the later experiments. (B) The compounds in C3-20%-1 were further separated into ten fractions, named A1 to A10. A2 repeatedly showed significant AHF attenuation activity. A1 and A6 were not tested due to a too-little yield of compounds.

Acknowledgments
This image is the copyrighted work of the attributed author or publisher, and ZFIN has permission only to display this image to its users. Additional permissions should be obtained from the applicable author or publisher of the image. Full text @ Pharmaceuticals (Basel)