IMAGE

Fig. 4

ID
ZDB-IMAGE-231207-4
Genes
Source
Figures for Siddiqui et al., 2023
Image
Figure Caption

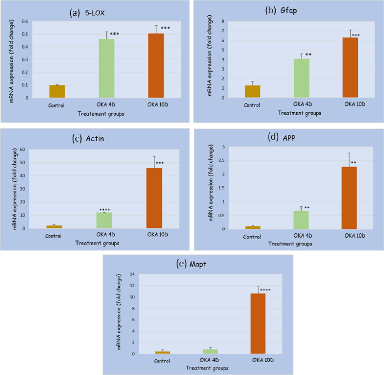
Fig. 4 mRNA expression levels for 4-day and 10-day OKA treated group, and control group: Data expressed as mean ± SEM. n = 18. ****P < 0.0001, ***P < 0.001,**P < 0.01 when compared with the control group using unpaired parametric student’s t-test.

Figure Data
Acknowledgments
This image is the copyrighted work of the attributed author or publisher, and ZFIN has permission only to display this image to its users. Additional permissions should be obtained from the applicable author or publisher of the image. Full text @ Comp. Biochem. Physiol. C Toxicol. Pharmacol.