FIGURE

Fig. 1

ID
ZDB-FIG-090910-8
Publication
Webb et al., 2009 - Zebrafish reward mutants reveal novel transcripts mediating the behavioral effects of amphetamine
Other Figures
All Figure Page
Back to All Figure Page
Fig. 1

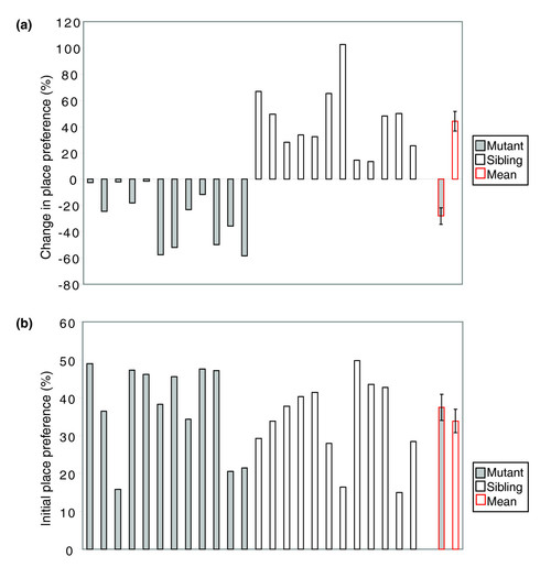
The dominant mutant naddne3256shows no response to amphetamine, but a normal initial place preference. (a) Conditioned place preference (%) of 24 individuals of a naddne3256 family (generation F3), showing 12 mutants and 12 siblings. Mutants were defined as showing no or a negative change in place preference. Siblings were defined as having a change in place preference of 5% or over. The last two bars represent the means for both groups. The difference between the means is statically significant (t-test with unequal variances; P = 2.3E-07). (b) Initial place preference (%) for the same 24 individual fish. The last two bars represent the means for both groups. There is no significant difference between the two means (two sample unequal variance t-test P = 0.45). Error bars represent the one fold of the standard error.

Expression Data

Expression Detail
Antibody Labeling
Phenotype Data
Fish:
Observed In:
Stage: Adult

Phenotype Detail
Acknowledgments
This image is the copyrighted work of the attributed author or publisher, and ZFIN has permission only to display this image to its users. Additional permissions should be obtained from the applicable author or publisher of the image.
Open Access.
Full text @ Genome Biol.