IMAGE
Fig. 3
Image
Figure Caption
Fig. 3
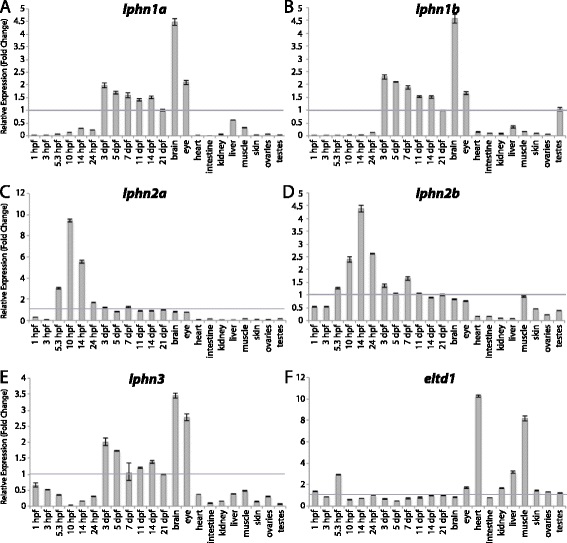
Group I aGPCR expression data. (A-F) Relative expression of zebrafish Group I aGPCRs obtained with high-throughput quantitative real-time PCR from a collection of 12 developmental time-points and 10 adult tissues. (A) lphn1a, (B) lphn1b, (C) lphn2a, (D) lphn2b, (E) lphn3, (F) eltd1. Error bars display the upper (RQmax) and lower (RQmin) limits of possible relative quantification values. Fold changes shown are relative to expression at 21 dpf (denoted by gray line at y = 1).
Figure Data
Acknowledgments
This image is the copyrighted work of the attributed author or publisher, and
ZFIN has permission only to display this image to its users.
Additional permissions should be obtained from the applicable author or publisher of the image.
Full text @ BMC Genomics