IMAGE

Figure 10

ID
ZDB-IMAGE-210606-159
Source
Figures for Brogi et al., 2021
Image
Figure Caption

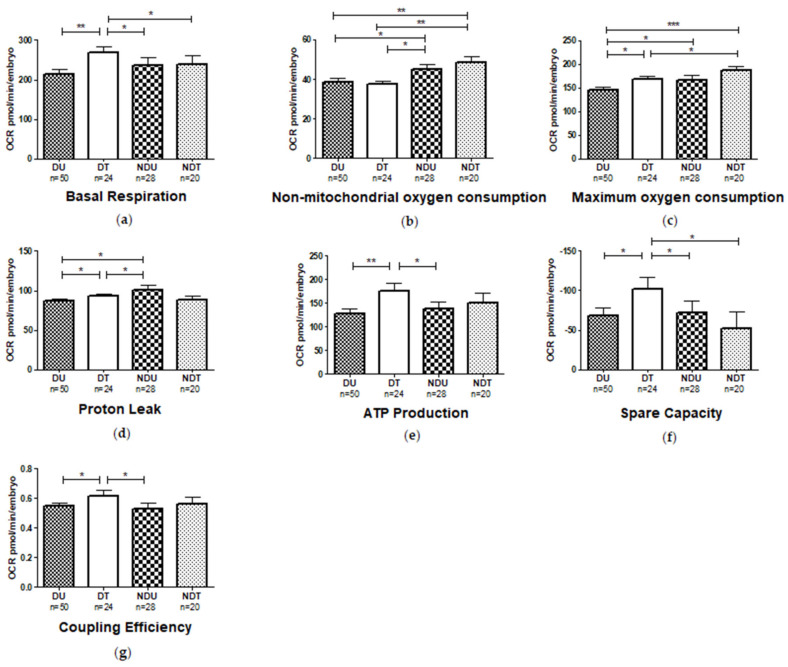
Figure 10 Mitochondrial respiratory analysis of Dystrophic Untreated (DU), Dystrophic Treated (DT), Non-dystrophic Untreated (NDU), Non-dystrophic Treated (NDT): (a) Basal respiration; (b) Non-mitochondrial oxygen consumption; (c) Maximum oxygen consumption; (d) Proton Leak; (e) ATP Production; (f) Spare respiratory capacity; (g) Coupling efficiency. Data are given as mean and standard error (* p ≤ 0.05, ** p ≤ 0.01, *** p ≤ 0.001).

Figure Data
Acknowledgments
This image is the copyrighted work of the attributed author or publisher, and ZFIN has permission only to display this image to its users. Additional permissions should be obtained from the applicable author or publisher of the image. Full text @ Nutrients