FIGURE
Figure 10
- ID
- ZDB-FIG-210606-159
- Publication
- Brogi et al., 2021 - β-Glucans as Dietary Supplement to Improve Locomotion and Mitochondrial Respiration in a Model of Duchenne Muscular Dystrophy
- Other Figures
- All Figure Page
- Back to All Figure Page
Figure 10
|
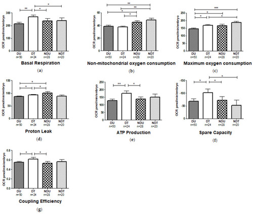
Mitochondrial respiratory analysis of Dystrophic Untreated (DU), Dystrophic Treated (DT), Non-dystrophic Untreated (NDU), Non-dystrophic Treated (NDT): (a) Basal respiration; (b) Non-mitochondrial oxygen consumption; (c) Maximum oxygen consumption; (d) Proton Leak; (e) ATP Production; (f) Spare respiratory capacity; (g) Coupling efficiency. Data are given as mean and standard error (* p ≤ 0.05, ** p ≤ 0.01, *** p ≤ 0.001). |
Expression Data
Expression Detail
Antibody Labeling
Phenotype Data
| Fish: | |
|---|---|
| Condition: | |
| Observed In: | |
| Stage: | Day 5 |
Phenotype Detail
Acknowledgments
This image is the copyrighted work of the attributed author or publisher, and
ZFIN has permission only to display this image to its users.
Additional permissions should be obtained from the applicable author or publisher of the image.
Full text @ Nutrients