IMAGE

Figure 7

ID
ZDB-IMAGE-210801-68
Genes
Source
Figures for Gawel et al., 2021
Image
Figure Caption

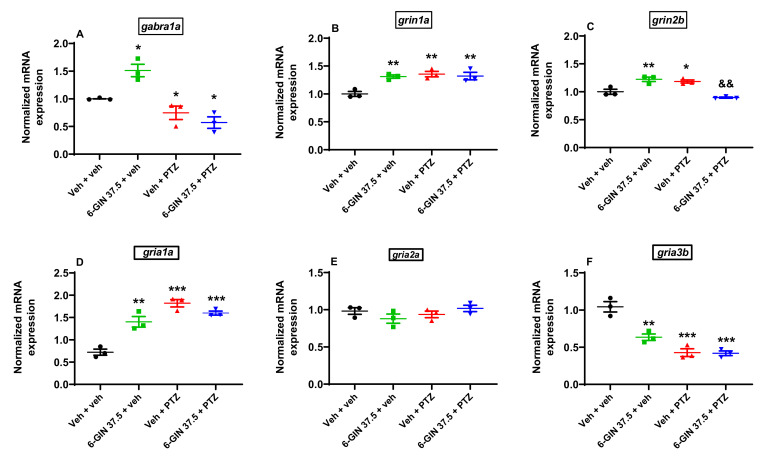
Figure 7 The effect of 6-GIN on (A) gabra1a, (B) grin1a, (C) grin2b, (D) gria1a, (E) gria2a, and (F) gria3b mRNA expression in PTZ-treated zebrafish larvae. After a 24 h incubation in 6-GIN (37.5 µM), zebrafish larvae were exposed to PTZ (20 mM) for 90 min. Next, zebrafish larvae were collected in a pool of n = 10/sample. mRNA levels were normalized against gapdh. Data were analyzed using one-way ANOVA with Tukey’s post hoc test. Data are depicted as a mean ± SEM (n = 3/group). *** p < 0.01, ** p < 0.01, * p < 0.05 vs. Veh + veh; && p < 0.01 vs. Veh + PTZ. 6-GIN—6-gingerol, PTZ—pentylenetetrazole, Veh—vehicle. n—refers to the total number of samples.

Figure Data
Acknowledgments
This image is the copyrighted work of the attributed author or publisher, and ZFIN has permission only to display this image to its users. Additional permissions should be obtained from the applicable author or publisher of the image. Full text @ Int. J. Mol. Sci.