FIGURE

Figure 7

ID
ZDB-FIG-210801-61
Publication
Gawel et al., 2021 - 6-Gingerol, a Major Constituent of Zingiber officinale Rhizoma, Exerts Anticonvulsant Activity in the Pentylenetetrazole-Induced Seizure Model in Larval Zebrafish
Other Figures
All Figure Page
Back to All Figure Page
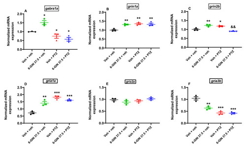
Figure 7

The effect of 6-GIN on (A) gabra1a, (B) grin1a, (C) grin2b, (D) gria1a, (E) gria2a, and (F) gria3b mRNA expression in PTZ-treated zebrafish larvae. After a 24 h incubation in 6-GIN (37.5 µM), zebrafish larvae were exposed to PTZ (20 mM) for 90 min. Next, zebrafish larvae were collected in a pool of n = 10/sample. mRNA levels were normalized against gapdh. Data were analyzed using one-way ANOVA with Tukey’s post hoc test. Data are depicted as a mean ± SEM (n = 3/group). *** p < 0.01, ** p < 0.01, * p < 0.05 vs. Veh + veh; && p < 0.01 vs. Veh + PTZ. 6-GIN—6-gingerol, PTZ—pentylenetetrazole, Veh—vehicle. n—refers to the total number of samples.

Expression Data
Genes:
Fish:
Conditions:
Anatomical Term:
Stage: Days 7-13

Expression Detail
Antibody Labeling
Phenotype Data
Fish:
Conditions:
Observed In:
Stage: Days 7-13

Phenotype Detail
Acknowledgments
This image is the copyrighted work of the attributed author or publisher, and ZFIN has permission only to display this image to its users. Additional permissions should be obtained from the applicable author or publisher of the image. Full text @ Int. J. Mol. Sci.