FIGURE

Fig. 3

ID
ZDB-FIG-150226-5
Publication
Rytkönen et al., 2014 - Transcriptional divergence of the duplicated hypoxia-inducible factor alpha genes in zebrafish
Other Figures
All Figure Page
Back to All Figure Page
Fig. 3

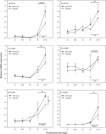
Early developmental transcription of the six hif alpha gene paralogs in normoxia and hypoxia (50% air saturation). LG = Late Gastrula, ES = Early Segmentation (3-5 somites), EP = Early Pharyngula and LP-EH = (Late Pharyngula-Early Hatching). *P value < 0.05, ***P value < 0.001. The whiskers indicate the variation between 3 independent biological replicates. The upper significance bar indicates the test between normoxic EP vs. normoxic LP-EH, and the lower bar the test between hypoxic EP vs. hypoxic LP-EH. The only statistically significant difference between normoxic and hypoxic groups is observed at LP-EH stage in hif-3A transcription (vertical significance bar).

Expression Data
Genes:
Fish:
Condition:
Anatomical Term:
Stage Range: 75%-epiboly to Long-pec

Expression Detail
Antibody Labeling
Phenotype Data

Phenotype Detail
Acknowledgments
This image is the copyrighted work of the attributed author or publisher, and ZFIN has permission only to display this image to its users. Additional permissions should be obtained from the applicable author or publisher of the image.

Reprinted from Gene, 541, Rytkönen, K.T., Prokkola, J.M., Salonen, V., Nikinmaa, M., Transcriptional divergence of the duplicated hypoxia-inducible factor alpha genes in zebrafish, 60-6, Copyright (2014) with permission from Elsevier. Full text @ Gene